Why Writing About Vaccines is Hard for Me Now
Tagged:About
/
CorporateLifeAndItsDiscontents
/
COVID
/
MeaCulpa
/
PharmaAndBiotech
/
Politics
/
Sadness
/
SomebodyAskedMe
[Mild Content Warning: this is a long, dark, angry post. But it’s grounded in the unfortunate facts of a dark, angry time. “Long” is just my own fault.] Periodically, somebody asks me about current news in vaccines. I find it really hard now to write about that subject, for reasons that should be obvious. Perhaps this post is less analysis, and more catharsis?
The Scent of Burning Libraries
A British friend – alas, I’ve forgotten whom, exactly, so if it happened to be
you, please tell me so I can credit you with the witticism –
compared the US now to how they felt in the UK during Brexit:
It’s as though your library was burned down by out-of-town mobs who can’t or won’t read… and don’t think you should either.
That’s how the US feels right now, at least to this aging scientist.
Perhaps like an old Roman scholar helplessly living through the invasion of the Germanic barbarians sacking Rome. Or an old Alexandrine scholar, lamenting the loss of the Library of Alexandria. (Yes, I know the Library’s disappearance was complicated and not just one maniac burning it down. We, though, face one maniac burning down civilization in the US.)
This topic is hard enough for me that I want to get it all out at once, and not suffer through writing like this over and over, at least for a while. So buckle up: we’re going through 33 sources, mostly scientific papers, today.
The Reality of The Vaccines
In some ways, the tragedy of our superstitious citizens’ rejection of vaccines is that they are rejecting what is arguably one of the best medical discoveries in the history of humanity. The data is not hard to find.
For example, I quickly found an article by Shattock, et al. [1]
in The Lancet (an absolutely first-rate medical journal). They report quantitatively on the
improvements wrought by vaccines over the last 50 years, so we’re looking back about 2
generations here:
- The leftmost graph shows the cumulative lives saved over the last 50 years. It adds up
to 154 million people worldwide who could “live, and not die” as it says in an old
book. Most of those are the yellow bars, which represents measles.
- NB: measles has an $R_0 \sim 12-18$, meaning 1 sick person infects 12-18 unvaccinated others. Also, it hangs in the air for hours. Measles is the most contagious disease known to humanity, and suppressing that is a big deal!
- The middle graph shows the number of life years those people got to live, instead of dying. It adds up to 9 billion years of human life that would otherwise have been snuffed out!
- Finally, the right-hand graph shows years of full health, i.e., the vaccines have allowed people to live billions of years of full health, not at all compromised by being vaccinated.
If – as Bertrand Russel didn’t quite say – the mark of a civilized person is to be able to look at a column of numbers and weep, then a civilized person must look at these graphs and smile in gratitude for the blessing we have been granted with vaccines!
- The leftmost graph shows the cumulative lives saved over the last 50 years. It adds up
to 154 million people worldwide who could “live, and not die” as it says in an old
book. Most of those are the yellow bars, which represents measles.
This point is rammed home quite dramatically with a graphic from the Wall St Journal,
shown here [2] (along with others for hepatitis A, mumps,
pertussis (whooping cough), polio, rubella, and smallpox at the link).
- The vertical axis represents US states, while the horizontal axis represents time.
- The color code of each box tells you the number of measles cases, with light blue representing zero.
- Note the dramatic drop-off of measles cases shortly after 1963, when the vaccines became available!
Similarly, Dattani & Spooner at Our World in Data (lots of fun, btw!) looked through the data from the Shattock paper, and came up with this dramatic presentation of the number of children’s lives saved. [3] Once again measles, being the most contagious disease ever, is the one where vaccines saved the most lives.
Just sit with that number for a moment: more than 93 million children saved. This is an occasion for pride and gratitude, absolutely not for suspicion of vaccines!
This is reality: vaccines are good.
The Superstitious Reaction to Vaccines
The deep sadness of our particular moment in history is that we, almost exclusively among conservatives in the US, react with superstition instead of reality.
Consider this analysis of a Gallup poll by Jones. [4]
- The first graph show the fraction of people who value childhood vaccinations, over
time. It’s stratified by political orientation.
- The first alarming bit is that it was never over 65%! Despite the millions of lives saved, billions of life-years restored, people just… won’t listen.
- Republicans were always a bit behind in the whole civilization-building enterprise, but not by very much until 2020.
- But once the pandemic started, they marinated in such a toxic stew of disinformation that things changed; apparently Trump normalized lying. Almost half the Republicans who previously valued childhood vaccinations decided they were unimportant (50% down to 25%). Almost half!
- Even more disturbingly, the second graph shows a sudden, steep increase, in Republicans only, who believe disease is less risk than vaccination for their children. Apparently they fell that polio, measles, and COVID-19 are less of a big deal because… they only kill and maim children, whereas vaccines are a Democrat pollution of their precious bodily fluids, or something? (I find it hard to understand why this is not just child abuse!)
- The first graph show the fraction of people who value childhood vaccinations, over
time. It’s stratified by political orientation.
The estimable
Eric Topol on Mastodon
confirms this, with some data shown here from Washington State:
- The leftmost graph shows demonstrably higher death rates among the unvaccinated, over and above the vaccinated.
- The middle graph, acknowledging Republicans are more likely to be unvaccinated, have been dying for years at higher rates in consequence of that.
- The right graph of cumulative death rates, continues to diverge: Republicans are killing themselves for their vaccine superstitions.
Beliefs leading to increased needless deaths over a period of years are seldom the correct beliefs. There is no virtue in dying for the stupidity of your tribe.
Alas, the stupidity of the Republican tribe knows no (upper) bounds.
We’ve previously written, here on the Crummy Little Blog That Nobody Reads (CLBTNR), about
times when:
- Idaho Republicans attempted to criminalize mRNA vaccines, and
- one particularly bizarre move in which Florida Republicans resolved to ban COVID-19 vaccines as weapons of mass destruction.
Apparently they’re not done with that: a Minnesota bill would also ban mRNA injections of any sort as weapons of mass destruction! [5] We checked, and there is – unfortunately – an actual bill, HF3291/4991, designating mRNA injections and products as weapons of mass destruction. It appears some of the language in the bill is the same as the Florida one, due to the involvement in both of the Florida-based hypnotist, Joseph Sansone, previously featured in this CLBTNR.
Possibly it has little chance of passage. So one may hope.
-
This is more or less confirmed by an article in STAT News [6], a
very good source for biopharma and medical news. Therapeutics involving mRNA are now
under more or less continual attack from RFK Jr, who has the usual right-wing delusions
about them. They have apparently canceled about $700 million in grants to Moderna for future
flu vaccines that can be quickly adapted to new strains or even directly attacking
emerging threats like H5N1.Why have they done this? Wrong question: there is no “why” when the cause is deeply stupid barbarism.
Jake Scott is a clinical professor of infectious diseases at Stanford. As such, he knows
a thing or two about public health, vaccines, clinical studies, and infectious diseases.
He wrote an article for The Conversation [7] about the many
gross misinterpretations and outright lies RFKJr is making in order to advance craziness:
- 2025-Jun-12 RFKJr told Fox news “97% of federal vaccine advisors are on the take”. This
is blatantly false, and probably defamatory. There are elaborate conflict of interest
disclosures, showing each person’s involvement with industry and financial interest. I
personally looked at them carefully in the pandemic, and verified that none were
significant. As Scott puts it:
[an internal audit] … found no pervasive wrongdoing – 97% of disclosure forms only contained routine paperwork mistakes, such as information in the wrong box or a missing initial, and not hidden financial ties.
- RFKJr also claimed children had to receive 92 immunization shots.
- In 1986, children got 11 doses against 7 diseases.
- Today, they get 50 doses against 16 diseases.
- Schools typically mandate 30-32 doses against 10-12 diseases; nobody requires COVID-19
vaccinations in children.

- He claimed COVID-19 vaccines were not tested against placebos. Utterly, completely, wildly, and dangerously false. I wonder what he thinks the red curve here is, taken from the Pfizer vaccine submission showing infection rates in placebo (red) vs vaccinated (blue)? These graphs are famous! Is he really that ignorant, or just lying?
- He claims “nobody has any idea how safe” vaccines are, despite elaborate safety monitoring during clinical trials and pharmacovigilance/Phase IV monitoring after approval. Staggeringly ignorant!
… and it goes on from there.
Kennedy is not just unqualified, but the opposite of qualified: maliciously incompetent.
- 2025-Jun-12 RFKJr told Fox news “97% of federal vaccine advisors are on the take”. This
is blatantly false, and probably defamatory. There are elaborate conflict of interest
disclosures, showing each person’s involvement with industry and financial interest. I
personally looked at them carefully in the pandemic, and verified that none were
significant. As Scott puts it:
This sort of ignorant rumor-mongering about vaccine deaths has been going on for a long
time. For example, here’s an AP report from 2021 claiming the Pfizer vaccine trial didn’t have
any efficacy at all, since 14 placebo subjects died and 15 vaccine subjects
died. [8] This is utter nonsense:
- First, this is a group of more than 43,000 people. During the 6 months or so of the trial, some number of them are going to die, no matter what. Every single death is investigated, no matter the cause, even if somebody is struck by lightning (which actually happened in the Moderna trial). None of the deaths in either arm were found related to either placebo, or treatment, or COVID-19 (except 2 placebo cases and 1 vaccine case).
- Second, infection is much more frequent than death. The trials were about infection rates. If you wanted to study death rates, you’d need a much bigger trial, maybe 10x larger? In that case, you’d have to enroll about 430,000 people, which is impossible.
The AP article quotes David Cennimo, an infectious disease expert at Rutgers:
“To exaggerate the example for learning, the Pfizer vaccine doesn’t protect you from lightning strikes so equal numbers of people in the vaccine and the placebo control group should get hit by lightning,” Cennimo said.
The claim of “no protection” is just stupid.
-
Kennedy decided to cut off $1 billion of US funds to GAVI, the global vaccine alliance
which has vaccinated more than half the children in low-income countries. He did so based
on a flawed study from 2017, as reported by NPR. [9]It looked at diphtheria/tetanus/pertussis (DTP) vaccination in west Africa. This vaccine has saved an estimated 40 million lives globally. But this study mysteriously claimed that kids who got the DTP vaccine died more often (though of other things than DTP diseases) between 3 months and 6 months of age.
But…
- The data is really old, in fact from the 1980s, so more than 40 years ago. Vaccination rates in Guinea-Bissau, where the study was done, were quite low then, and the risk of deaths from all causes was quite high for all infants.
- Two of the authors studied Guinea-Bissau again using data from 2010 and 2014, and saw “no effects on all-cause mortality” for DTP-vaxed kids. This makes it smell like an artifact of the very, very old dataset that has little to do with modern reality.
- The data in the study had lots of gaps and unexamined biases, and the analysis methods were problematic. For example, instead of a randomized trial, they looked at clinical data. Parents of sickly kids might seek out vaccination, but those sickly kids might also be at increased risk. There’s a reason accrual procedures for clinical trials are what they are, to eliminate biases like that.
- Modern vaccines are very different from 40 years ago. The amount of antigens used is much smaller, thanks to adjuvants that make the smaller amounts more effective. Also, the modern version is pentavalent: diphtheria, tetanus, pertussis, hepatitis B and Haemophilus influenza B.
- People screen relentlessly for this sort of thing. It’s called “pharmacovigilance” and formally a Phase IV clinical trial, in which you look for bad effects after approval in the broadest populations. Given that nobody could see it for 40 years, which is more likely: that we all just screwed up for 40 years straight, or that there’s no effect?
So Kennedy has pulled funding for child vaccinations in the developing world based on data that’s very old, collected under conditions that admit serious biases, analyzed with obscure methods, on a vaccine that isn’t relevant for at least the last 30 years, and which presupposes we’re all compliant fools.
NPR quotes Atul Gawande, for whom I have great respect:
“Of all the global health programs that have been cut, this will likely mean more deaths than any [other cut],” said Dr. Atul Gawande, who oversaw global health work for the U.S. Agency for International Development under President Biden, in an email to NPR.
Moloch required child sacrifice for political and military ends, too.
-
People go off half-cocked (or quarter-cocked?) on all sorts of other ingredients in
vaccines. There’s a persistent but ridiculous rumor among the hyper-religious that
vaccines contain cells from aborted babies, for example. Nothing of the sort is true.Two of the other persistent ones are dangers alleged from the aluminum salts used to make the immune system react stronger to less antigen [10] and thimerosal, a mercury-containing preservative used in minute amounts in multi-dose vials. [11]
These have both been studied relentlessly, finding no dangers:
- Kennedy claims – utterly falsely – that the aluminum salts used are
“extremely neurotoxic” and “give[s] you allergies”.
- On the other hand, actual scientists studied 1.2 million Danish children, calculated their aluminum exposures, and found no statistically significant association to any of over 50 chronic conditions. This study is published in Annals of Internal Medicine (citation at the footnote, below).
- Kennedy, though, fired all the members of the CDC Advisory Committee on Immunization Practice (ACIP) and appointed wildly unqualified replacements. He wants them to investigate aluminum adjuvants in vaccines, against all scientific evidence.
- Thimerosal as a preservative has been a howling point for right-wing vaccine conspiracy
theorists for years.
- Originally, Andrew Wakefield claimed it caused autism in children in a fraudulent study in 1998. It took decades to expose his data fraud and the way he’s monetized his scare tactics. His papers were forcibly retracted and he lost his medical license for the fraud aspect and for endangering children. Still… the right wing never learns!
- Now Kennedy’s ACIP, stacked with the uninformed, wants to remove thimerosal. It’s already removed from most vaccines anyway, and is now used only in multi-dose vials (e.g., only about 4% of US doses of flu vaccines are in multi-dose vials). Manufacturers can easily move to single-dose vials, but at an increase in cost and a strain on healthcare deliverer’s storage capacity. Because… right-wing superstition is more important than fact.
- Kennedy claims – utterly falsely – that the aluminum salts used are
“extremely neurotoxic” and “give[s] you allergies”.
Oh, but they’ve gone further, pulling recommendations for flu shots under some
circumstances [12]:
The vaccine panel hand-selected by health secretary and anti-vaccine advocate Robert F. Kennedy Jr. on Thursday voted overwhelmingly to drop federal recommendations for seasonal flu shots that contain the ethyl-mercury containing preservative thimerosal. The panel did so after hearing a misleading and cherry-picked presentation from an anti-vaccine activist.
In fact, they listened only to an anti-vax activist, and, in the words of the article here, “censored CDC scientists” who objected. They had prepared a briefing showing all the evidence that thimerosal is safe, but were quashed. They even removed those presentations from the web, so nobody could see them.
They even got the chemistry wrong: thimerosal is not metabolized into methyl mercury, but instead into ethyl mercury and thiosalicylate. These are very, very different things… but that does not matter to conspiracy theorists indifferent to fact.
An ominous conclusion to the meeting:
… ACIP Chair Martin Kulldorff gave a brief presentation on the MMRV vaccine (measles, mumps, rubella, and varicella/chickenpox). He previewed a proposed recommendation to vote on in a future meeting that would remove the CDC’s recommendation for that vaccine as well.
Sure, let’s burn it all down, right? Let all our kids get the “benefit” of measles, the most contagious disease known to humanity. Idiots.
-
Kennedy has apparently wholesale fired the FDA’s VRBPAC (Vaccine and Related Biological Products Advisory Committee). Now he’s fired the CDC’s ACIP (Advisory Committee on Immunization Practices) and replaced them with what appears to be a raft of clowns. [13] [14] [15] [16]
I dunno quite what to tell you about them. They all look really, really bad to me.
For example, one panelist asked CDC scientists whether a “pattern of broad-based energy of
some type” may be responsible for a surge in flu deaths this year (see reference 16).
Yeah, it’s all those negative vibes, man. Pure woo!But you don’t have to take the word of some cranky old retired scientist/internet rando. Instead, consider the opinion of epidemiology professor Elizabeth Jacobs, who summarized it all. Here’s short summary table helpfully summarized on Mastodon by AkaSci. They’re all… uniquely awful. Not just unqualified, but anti-qualified.
NB: Retsef Levi, in particular, believes mRNA vaccines have killed more people than they have saved. I don’t want dive into his statements to figure out why he thinks that. It is in apparent ignorance of the pharmacovigilance function of Phase IV, which detects exactly that sort of thing.
For example, the COX2 inhibitor Vioxx/rofecoxib was initially hailed as a way to relieve arthritis pain without the gastric ulcer complications of COX1/2 inhibitors like aspirin.
During the clinical trial, way fewer ulcers and slightly more heart attacks were observed in the COX2 arm than in the control arm with aspirin. That makes sense, since aspirin is cardio-protective. This was enough for approval.
But, some time later, via pharmacovigilance/Phase IV, it was discovered that there were slightly more heart attacks with rofecoxib than could be explained just from not having aspirin. Vioxx/rofecoxib was immediately removed from the market.
Compare billions of mRNA vaccines to the number of patients taking COX2 inhibitors like Vioxx/rofecoxib. What’s more believable: that there is no increase in all-cause mortality from COVID-19 vaccination, or that we are all incompetent fools not to have found it when we found smaller effects with COX2 inhibitors?
Jacobs suggests that Americans take the following very sensible actions:

Here at Château Weekend, we’ve done that. We got our COVID-19 boosters last fall and this spring. Last fall we got our flu shots. This spring we got MMR boosters, since the knuckleheads have let measles loose again. At my last physical, a couple weeks ago, I asked my doc to make sure there were no vaccinations I needed, and she said I was good to go: COVID-19, flu, RSV, measles, mumps, rubella, shingles, and pneumonia are all covered.
The state of our medical establishment is pretty bad, particularly around vaccines. The state of our scientific establishment is just as bad, with many scientists essentially becoming professional refugees in Europe and Japan.
I wish it were limited to that.
But the suspicion and anti-intellectual superstition runs deep. For example, it appears the recent
lethal flooding in Texas happened despite the Biden administration’s offer of money for
flood prevention, warning, and mitigation. [17]
- They at first turned down the money in 2021, because:
… local officials and residents arguing they didn’t want to be “bought” by the Biden administration.
- In 2022, they dialed up the rhetoric even more, basically spitting at the federal
government:
At an April 2022 meeting, one citizen called the White House a “criminal treasonous communist government,” urging the county to reject the money altogether. Others echoed that sentiment, saying they didn’t want the federal government’s help.
- The real kicker: they eventually took the approximately \$10 million, but allocated about \$8 million to their sheriffs. Because… apparently more cops make everything better? For the flood alert system, they spent no money at all.
In consequence of this, more than 100 people lie dead. The rot runs deep: not even death deters them.
- They at first turned down the money in 2021, because:
These are not the truth-seeking behaviors of scientists; these are the mathematically illiterate behaviors of superstitious children.
Losing Our Grip: A Golden Age That Could Have Been
Things are bad, but the most ironic part of all is that they could have been wonderful! We were on the verge of a golden age of medicine with mRNA therapeutics, there’s a green energy revolution everywhere but the US, and so on.
Here are a few examples of what could have gone right (or still could if we could neuter MAGA).
Moderna had a clinical trial of an mRNA-based flu vaccine, in comparison with existing flu
vaccines; it read out recently. [18]
- mRNA-1010 was in one arm of the trial, and conventional flu vaccines in the other.
- Nearly 41,000 participants aged 50+ participated. They were randomized to either treatment, and followed for 6 months in last year’s flu season.
- The 2024-2025 flu season was pretty severe, with an estimated 770,000 hospitalizations nationwide. So this was a severe test of both vaccines.
- mRNA-1010 had an efficacy 26.6% higher overall, and 27.4% higher in age 65+. That is, it works even better on an older population.
So it’s a no-brainer for approval, right? Good news of a better, cheaper, more flexible flu vaccine?
Sadly, no. Kennedy has decreed that all new vaccines must go through placebo-controlled trials. That is, those in the control arm cannot get standard of care, i.e., the current vaccine as was done in this trial; they must get nothing. Now, attend closely: this is medically unethical, to deny patients existing treatments in a clinical trial. No IRB (Institutional Review Board) in the whole country would allow such a trial.
So Kennedy is demanding another clinical trial: an unethical clinical trial which will risk patient lives and cannot be done. Perhaps that’s a back-door way to just denying approval?
Nobody knows what’s going to happen. Nobody likes it, either. At least, nobody sensible.
Moderna also reported on the clinical trial of mRNA-1083, their combined flu/COVID-19
vaccination. [19] This is a good idea, because you can get
much better patient compliance when you tell people to get 1 shot instead of 2. This is
much like other combo vaccines, e.g., MMR (measles/mumps/rubella) or DTaP
(diphtheria/tetanus/pertussis). Let’s look at the results, including the JAMA publication:
- The study saw the same or better immune response compared with doing separate shots.
- There were 8015 participants, 4017 of whom were aged over 65 years, and with a good mix of men & woman as well as Black or Latino.
- Noninferior immunogenicity was found, compared to the separate shots by a couple of statistical measures. (Did I just skip statistical details?!)
- There were some adverse reactions (Grade 1 or 2, i.e., “no big deal” or “mildly annoying”). These were all solicited, i.e., physicians specifically asked about every headache, ever bit of tiredness, and so on. This is a very good result.
But… the political situation is of course terrible. Kennedy would demand another clinical trial against a placebo, i.e., unethically forcing people to go without either vaccine in the control arm.
Alas, that Republican political mischief was the poison pill; Moderna withdrew the application for approval [20] just 10 days later, despite the success of the clinical trial. I’ve never seen that happen before; the environment under Kennedy must be truly poisonous for them to throw away this much of an investment.
Perhaps Moderna will apply internationally, and the US will fall even further behind. At least some lives will be saved, though not here.
-
That’s not the only potential good news for mRNA vaccines.Researchers at Memorial Sloan-Kettering Cancer Center (MSKCC) and other centers have an mRNA vaccine to be given to patients with pancreatic ductal adenocarcinoma (PDAC). [21] PDAC isn’t the absolute worst (that’s pancreatic adenocarcinoma), but it’s still pretty nasty and anything that can help here is worthwhile.
Consider the 2 Kaplan-Meier curves shown here, from Figure 1a of the paper. They basically show the fraction of patients surviving versus time, for the vaccinated (red) and unvaccinated (blue) patients. (The unvaccinated patients, of course, got standard-of-care treatment, which is the comparator in these sorts of trials. Not placebo!)
There’s plenty of nuance to discuss here, and as an aging statistical nerd I’m straining mightily to keep from going on and on about it. But the main point is: the blue curve drops precipitously, but the red curve does not.
- That is, the vaccinated patients tended to have a longer recurrence-free survival (RFS) than the others – basically they lived for 4 more years at the end of the study!
- They reported a hazard ratio of $\mbox{HR} \sim 0.14$, with a confidence interval of 0.03 - 0.59; we want to see that bounded away from 1 which is what we have here.
- Also, a log-rank 2-tailed test got $p \lt 0.007$, which amply passes all reasonable tests of statistical significance.
The effect is very real, i.e., likely to reproduce, because of statistical significance. The effect size is very large, in that it’s giving people at least 4 more years of life before follow-up stopped.
Bottom Line: If you get PDAC, you want this vaccine!
But… given that our vaccine approval process is now in the hands of mathematically illiterate children with a superstitious fear of mRNA vaccines… it’ll probably be delayed until the post-Trump era, in my (pessimistic) opinion.
-
The good news keeps coming: Moderna reported a Phase IIb result in melanoma, a
particularly deadly skin cancer (and a common one, with a high risk of
recurrence). [22]This is a combination trial:
- The control arm patients get – of course! – standard of care. In this case it was Keytruda/pembrolizumab. That’s a PD-1 blocker, which blocks the efforts of cancer cells to hide from the immune system. Very good drug!
- The treatment arm patients get combination therapy of Keytruda plus Moderna’s mRNA drug mRNA-4157. The latter is a weird beast: up to 34 neoantigens unique to a given patient’s tumor (personalized for each patient). You body will make abnormal proteins from those, your immune system will clean them up and learn to hate them, and then your immune system will go after cancer cells with those proteins on their surfaces.
The combination is eminently sensible: mRNA-4157 primes the immune system to kill cells expressing the antigens of your particular cancer, and pembrolizumab “de-cloaks” the cancer cells so the immune system can now see them.
Result: Combination patients are 49% less likely to die or get a recurrence within 3 years, compared to Keytruda alone. They are 62% less likely to get a distant metastasis or death.
Statistical significance was just marginally non-significant ataround $p \sim 5.3\%$, but you’d expect that in a very small Phase IIb trial. A large Phase III trial is where that’ll get settled.
Phase III launched in melanoma and non-small cell lung cancer, but they will take several years. Possibly that’s good, since it might come up in the post-Trump era, presuming we survive at all. Other countries might be more sensible, recognizing this good result immediately:
“We think that in some countries the product could be launched under accelerated approval by 2025,” Moderna CEO Stephane Bancel told AFP.
Would that it were so.
-
Look, I’m an aging, neurodivergent nerd. If there’s something that can help me age more
gracefully, I want it.(Ironic example: I technically now fit the diagnostic criteria for the GLP-1 drugs, that cause such dramatic weight loss. However, Medicare – even with my gold-plated supplements – won’t cover it. The cost would be about \$1500/month, which is completely out of reach. This is what a broken medical system does: it makes good therapies unavailable until people either die or are “sick enough.”)
Bloom, et al. [23] don’t really have a specific therapy in mind, but they discuss rather sensibly all the problems involved.
For example, we elders suffer from some immunosenescence, which means vaccines have to be stronger to get a good response in us. I took the high-dose flu vaccine last fall for this reason. (Yes, it’s too strong for you youngsters. Maybe when you grow up.)
But there’s also a climate of vaccine hesitancy and poisonous disinformation. This is not just a political problem, it’s deadly to people like me who are depending on good vaccines against infectious diseases and cancers. So this paper’s worth reading, just to get a grip on some of those issues.
-
I’ve had friends who got shingles; it’s miserable. When chickenpox recurs like this, it
infects nerves, causing itching, burning, exquisitely painful welts on the skin. And it
just doesn’t stop for months!So several years ago, I got Zostavax, the then-extant shingles vaccine. A few years later, an improved vaccine called Shingrix came out. It was so dramatically better that even people who’d gotten Zostavax were recommended for re-vaccination. So I did that, as a 2-shot series. It was a bit gnarly, in that the side-effects the next couple days were worse than most other vaccines. By “worse”, I mean that I was achy, tired, mildly feverish, and cranky. And happy, because I was now very likely to evade the real misery of shingles.
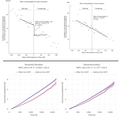
So that should be good enough, right? But the formidable Eric Topol presents evidence [24] that Shingrix additionally actually reduces the chance of developing Alzheimer’s!
These were “natural experiments”, in that nobody set them up like that but they just happened due to a variety of social factors.
- In the US, the rapid switchover from Zostavax to Shingrix allowed us to look at the rates of Alzheimer’s in each. The Shingrix cohort got a 17% reduction in diagnoses.
- In Wales, the excellent socialized medicine enabled the analysis to account for other kinds of medical care as confounders. Due to the way there was an age cutoff for Shingrix, they observed a 20% reduction in Alzheimer’s in the Shingrix cohort in 7 years of follow-up.
The top figure here shows, in both the Wales and US studies, the effect on Alzheimer’s.
Both of them show a reduction, of approximately the same order of magnitude and timed
exactly to the introduction of Shingrix.Note that there is no control arm for “no vaccine” here; we’re comparing 2 shingles vaccines. The evidence suggests that if we had a “no vaccine” arm of unfortunates against whom we were comparing, there would be a 35% - 40% reduction! This is very, very strong evidence that you should definitely get the Shingrix vaccine the instant you age into eligibility!
The bottom figure is even more intriguing: in both studies, when you separate out men from women, the effect is almost exclusively for women! Women are more prone to Alzheimer’s (possibly because they live longer), and there’s probably some difference both in the pathology of Alzheimer’s and the immunology of vaccination. The details of why are a bit unclear. Besides the fact that understanding is better than not understanding, it would be nice to know if there were a way to extend the effect to men as well.
We also don’t quite know if this is a varicella zoster virus (VCV) specific effect, or if it’s something good about vaccination in general. But multiple bouts of shingles seem to be associated with increased Alzheimer’s, so there’s something mechanistically suggestive there about VCV. It appears that VCV is neurotrophic, i.e., it either gets into the brain or at least has effects there.
There are many prior studies that have indicated about ~20% or more reduction of dementia with a variety of vaccines including tetanus diphtheria with or without pertussis, pneumococcal vaccine, flu shots, and several others …
Indeed, we’ve written before on this Crummy Little Blog That Nobody Reads about the mild preventive effect some other vaccines have on Alzheimer’s.
So again… vaccines are good!
-
On a sadder note, we’re on the verge of HIV vaccinations. There are consortia of
academics and pharma actors researching it, mostly in mRNA vaccines. However,
the Trump/Kennedy régime has canceled all support for
that in the National Institute for Allergy & Infectious Diseases
(NIAID)! [25]As reported in Science:
In a move that could bring future research on HIV vaccines to a near halt, the National Institute of Allergy and Infectious Diseases (NIAID) notified researchers today that it will not renew funding next year for two major consortia in the beleaguered field, Science has learned. NIAID also recently stopped funding three research groups that evaluate experimental vaccines in monkeys.
The notification, which was communicated verbally by NIAID program officers, “couldn’t have happened at a worse time, because the recent clinical trial results [for candidate HIV vaccines] are very promising,” says Dennis Burton of Scripps Research, who heads one of the two Consortia for HIV/AIDS Vaccine Development (CHAVD).
Apparently questions about this to officials at HHS and NIH were met with the evasions typical of the today’s Trump era. It may be doubtful if they even understood the question.
-
There’s good news elsewhere, too: solar energy is now dramatically cheaper than fossil
fuels, so the only investors in fossil fuel energy should be either fools or those coerced
by governments into doing so. (Not entirely coincidentally: one version of Trump’s recent
“one big beautiful bill” contained a provision to impose taxes on solar and wind farms,
to make them non-competitive again vs fossil fuels. That didn’t survive, but they have
stated their intent to repeal tax incentives and to approve almost nothing in terms of
solar and wind projects. This is evil.)However, every where else, solar power is just about unbelievable in scale, to the extent that it’s reaching the normies via more or less popular media. [26] [27] (It should be noted that this sort of growth is typical when you’re on an exponential curve, in that it always becomes “suddenly unbelievable”. People are really bad at understanding exponentials, simple things that they are!)
- Renewables made up 96% of demand for new energy globally in 2024.
- In the US, 93% of new energy capacity came from solar & wind.
- Worldwide a new gigawatt of solar infrastructure is installed every 15 hours (about the output of a big old coal plant).
- In 2023, China installed more solar infrastructure than the next 9 countries combined.
- But rather than be a participant in the good news, Trump is instead actively disabling
anything climate-related. The Trump administration is not only shutting down most of NOAA
(to muzzle climate research and give his friends a for-profit opportunity to replace it).
Now according to Sen Markey (D-MA), they are not only shutting down government, but
actively disabling instruments so that weather prediction and climate research are crippled:

O tempora, o mores. (Not that I’m a big fan of Marcus Tullius Cicero, but the sentiment is apt.)
The Weekend Conclusion
So… it’s just hard for me to write now about vaccines, or science in general. It
seems we live in a cartoon world now, and not one of your better cartoons.
This cartoon by Jeff Stahler, for instance, seems to capture the zeitgeist:
- Trump says or does something stupid,
- Republicans back him up,
- scientists (or any of the fact professions, really) try to inject some reality,
- Trump cuts their funding, calls them traitor commie pedophiles, and the Trump supporter death threats start coming in.
Absolutely nothing in that sequence is an exaggeration. Sadly.
To be honest, life in the US now feels like this perverse version of the trolley problem involving billionaires, proposed by some internet wag.
-
The trolley problem was invented by philosopher Phillippa Foote in about 1967, to help thinking about the doctrine of double effect: actions have complicated effects, some of which you may want and others you may not.
In its (near-)original formulation (upper part of the illustration), you are at the
control lever of a train switch. An unstoppable trolley car is approaching. People are
tied to the tracks. You can either throw the switch so as to kill 1 person, or to kill
5 persons.Most people have the wit do do a little moral calculation, valuing lives roughly equally, and kill the fewest number of people. (“Double effect”: on the one hand, you minimize deaths, but on the other hand, you still kill somebody.)
This problem famously has about a billion variations, with varying levels of absurdity.
-
In the perverse billionaire-controlled formulation (lower part of illustration), you are in fact not in control of anything. You are one of the 5 unfortunates tied to the track.
The person tied to the other track is a billionaire.
The person at the switch is another billionaire.
The 2 billionaires are exchanging thumbs-up signals, i.e., the trolley will be diverted to kill everyone else in order to save the billionaire tied to the tracks.
The rights, comfort, and prerogatives of the rich are all that matter. No laws, no ethics, no traditions, and not even physics may be permitted to intervene.
That’s exactly the feeling conveyed by this bit of street art for July 4th, reported by Instagrammer jdlstreetart from Roubaix, in northern France. The 36 seconds of striking aerial drone footage show a weeping Statue of Liberty, covering her face in shame and grief.
Shame, grief, and tears are (for now) the consequences of our choices. How bad those consequences will soon become… that’s what I fear. The US is in a dark and dangerous place now, about to become much darker and more dangerous.
George Monbiot, writing in The Guardian about a year ago [28],
reminds us that things won’t get better so long as we let the oligarchs capture most of
the economic production’s wealth and turn it into political power for themselves. (He’s
speaking particularly of British politics of 2024, but the lessons are more general.)
What we mostly regard as the “normal” post-WWII period was in fact quite extraordinary:
What is the “normal” envisaged by pundits and politicians of the left and centre? It is the most anomalous politics in the history of the world. Consciously or otherwise, they hark back to a remarkable period, roughly 1945 to 1975, in which, in certain rich nations, wealth and power were distributed, almost everyone could aspire to decent housing, wages and conditions, public services were ambitious and well-funded and a robust economic safety net prevented destitution. There had never been a period like it in the prior history of the world, and there has not been one since.
The 1930s through the 1970s are what economists Claudia Goldin & Robert A. Margo
describe as the “Great Compression”. [29] The Great
Depression caused political demand for a much more redistributive tax system and great
investment in public works. The World Wars used up or destroyed much of the capital of
the very rich. The postwar education programs democratized access to professions.
The result was that the 90-10 ratio in log wages went from 1.45 in 1940 to 1.06 in 1950. That is, the scale of wages compressed so much, the term “Great Compression” is apt (despite the way the sounds recall “Great Depression”). This changed the US profoundly, and for the better (though it did not solve all problems, especially if you were a woman, a racial minority, an immigrant, or LGBTQ).
Back to Monbiot, on how extraordinary the Great Compression was:
The history of many centuries, including our own, shows that the default state of politics is not redistribution and general welfare, but a spiral of accumulation by the very rich, the extreme exploitation of labour, the seizure of common resources and exaction of rent for their use, extortion, coercion and violence. Normal is a society in which might is right. Normal is oligarchy.
…
In the absence of … great catastrophes, income and capital inexorably accumulate in the hands of the few, and oligarchy returns. Oligarchs are people who translate their inordinate economic power into inordinate political power. They build a politics that suits them.
…
If you want a return to the rich nations’ “normality” of 1945 to 1975 – in other words, to redistribution, a shared sense of national purpose, robust public services and a strong economic safety net, high employment and good wages – and I think most people would, you need a politics that is not just abnormal, but unprecedented. … We would need to do what the world wars did, without the violence and physical destruction: a peacetime MacArthur programme for overthrowing the oligarchs.
This is what the American billionaire Peter Thiel meant in his foundational essay for the neo-reactionary/Dark Enlightenment movement:
Thiel explained in a 2009 essay that he had come to “no longer believe that freedom and democracy are compatible”, due in large part to welfare beneficiaries and women in general being “notoriously tough for libertarians” constituencies…
Note the explicit contempt for women and the poor. They also hold the rest of us in contempt, and now use their power to shape laws to that effect.
The real question is how much longer we tolerate this.
In the meantime, about some subjects, it is much harder for me to write optimistically.
(Ceterum censeo, Trump incarcerandam esse.)
(And yes, “The Reality of the Vaccines” is a goof on “The Hypostasis of the Archons”. Thank you for noticing!)
Addendum 2025-Jul-26: Cancer screening is now ‘too woke’
This news was initially reported in The Wall Street Journal, but now it’s out from behind
their regrettable paywall and being reported in other media, like
Raw Story. [30]
There’s this thing called the US Preventive Services Task Force. The members study things like cancer screenings and other preventive services. One of their outputs is to decide which preventive screenings are accurate enough and have enough impact that they should be mandated for payment by insurance companies. (Left to their own profit motive, we’ve seen that health insurers will not prioritize their customers’ health.)
One of the considerations is that sometimes these screening tests have different probabilities depending on the background of the patient, such as race or pregnancy. They make recommendations about how to interpret and use preventive tests for all patients, taking those things into account. As a result, Kennedy is burning to the ground yet another bit of civilization:
Health and Human Services Secretary Robert F. Kennedy Jr. plans to dismiss all 16 members of the U.S. Preventive Services Task Force, disparaging them as too “woke,” people familiar with the matter told the Wall Street Journal on Friday night. The independent panel of national experts is tasked with making recommendations about clinical preventive services, such as screening tests, counseling services, and preventive medications.
The task force became a target for the right by using terms such as “pregnant persons” and highlighting racial discrimination during a discussion on risk factors for anxiety in older children and teens, according to the report.
They will no doubt be replaced with people more to RFKJr’s taste, i.e., not ‘woke’, or just completely blasé about the health outcomes of minorities and women. Apparentlly the new strategy is to pretend it doesn’t matter, and let people die.
Want to take bets on how soon the new task force asks, as the ACIP did above, about a “pattern of broad-based energy of some type”? How about witchcraft?
Notes & References
1: AJ Shattock, et al., “Contribution of vaccination to improved survival and health: modelling 50 years of the Expanded Programme on Immunization”, The Lancet, 403:10441, pp. 2307-2316, 2024-May-25. DOI: 10.1016/S0140-6736(24)00850-X. ↩
2: T DeBold & D Friedman, “Battling Infectious Diseases in the 20th Century: The Impact of Vaccines”, Wall Street Journal, 2015-Feb-11. ↩
3: S Dattani & F Spooner, “Measles vaccines save millions of lives each year”, Our World in Data, 2025-May-19. ↩
4: JM Jones, “Far Fewer in U.S. Regard Childhood Vaccinations as Important”, Gallup, 2024-Aug-07. ↩
5: W Bornhoft, “MN Bill Would Criminalize mRNA Vaccines, Label Them ‘Weapons Of Mass Destruction’”, MN Patch, 2025-Apr-22. ↩
6: L Lawrence & I Cueto, “mRNA, once lauded as a scientific marvel, is now a government target”, STAT, 2025-Jun-02. ↩
7: J Scott, “I’m a physician who has looked at hundreds of studies of vaccine safety, and here’s some of what RFK Jr. gets wrong”, The Conversation, 2025-Jun-26. ↩
8: A Lajka, “Posts misrepresent Pfizer data on vaccine efficacy”, Associated Press, 2021-Aug-04. ↩
9: G Emanuel, “RFK Jr. singled out one study to cut funds for global vaccines. Is that study valid?”, NPR, 2025-Jul-01. ↩
10: B Mole, “Large study squashes anti-vaccine talking points about aluminum”, Ars Technica, 2025-Jul-15.
NB: The study referred to here is:
NW Andersson, et al., “Aluminum-Adsorbed Vaccines and Chronic Diseases in Childhood: A Nationwide Cohort Study”, Ann Int Med, 2025-Jul-15. DOI: 10.7326/ANNALS-25-00997. ↩
11: H Branswell, “CDC advisory panel, selected by RFK Jr., recommends thimerosal be dropped from flu vaccines”, STAT News, 2025-Jun-26. ↩
12: B Mole, “RFK Jr.’s CDC panel ditches some flu shots based on anti-vaccine junk data”, Ars Technica, 2025-Jun-26. ↩
13: M Stobbe, “Kennedy’s new CDC panel includes members who have criticized vaccines and spread misinformation”, Associated Press, 2025-Jun-12. ↩
14: H Branswell, “With U.S. vaccine policy in flux, four members of CDC advisory panel receive termination notices”, STAT News, 2025-Jun-08. ↩
15: H Branswell, C Cirruzzo, & D Payne, “Health secretary RFK Jr. abruptly fires CDC vaccine advisory panel”, STAT News, 2025-Jun-09. ↩
16: J Mast, “The CDC’s vaccine advisory panel, empowered by RFK Jr., is just getting started”, STAT News, 2025-Jun-26. ↩
17: MB Mack, “Flooded Texas County Turned Down Funds for Warning System From Biden Admin in 2021: ‘We Don’t Want to Be Bought’”, Latin Times via MSN, 2025-Jul-12. ↩
18: B Mole, “Moderna says mRNA flu vaccine sailed through trial, beating standard shot”, Ars Technica, 2025-Jul-01. ↩
19: E Cara, “Moderna’s Super-Vaccine for Flu and Covid Works—Now Politics Could Sink It”, Gizmodo, 2025-May-11.
NB: The publication for the Phase III clinical trial NCT06097273 on mRNA-1083, the combination flu/COVID-19 vaccine, is this one in JAMA:
AK Rudman Spergel, et al., “Immunogenicity and Safety of Influenza and COVID-19 Multicomponent Vaccine in Adults ≥50 Years”, Jnl Amer Med Assn, 333:22, pp. 1977-1987. DOI: 10.1001/jama.2025.5646. ↩
20: Reuters Staff, “Moderna pulls application for COVID-flu combination shot”, Reuters, 2025-May-21. ↩
21: Z Sethna, et al., “RNA neoantigen vaccines prime long-lived CD8+ T cells in pancreatic cancer”, Nature 639, pp. 1042-1051, 2025-Feb-19. DOI: 10.1038/s41586-024-08508-4. ↩
22: K Houser, “Moderna’s mRNA cancer vaccine works even better than thought”, Freethink, 2023-Dec-24.
NB: The publication on the Phase IIb trial is this one, in The Lancet, (regrettably paywalled):
JS Weber, et al., “Individualised neoantigen therapy mRNA-4157 (V940) plus pembrolizumab versus pembrolizumab monotherapy in resected melanoma (KEYNOTE-942): a randomised, phase 2b study”, The Lancet 403:10427, pp. 632-644, 2024-Feb-17. DOI: unknown. ↩
23: DE Bloom, et al., “Vaccination for healthy aging”, Sci Transl Med 16:745, 2024-May-01. DOI: 10.1126/scitranslmed.adm9183. ↩
24: E Topol, “The Shingles Vaccine and Reduction of Dementia”, Ground Truths blog, 2025-Apr-05.
NB: The study to which Topol alludes is this one, in Nature:
M Eyting, et al., “A natural experiment on the effect of herpes zoster vaccination on dementia”, Nature 641, pp. 438-446, 2025-Apr-02. DOI: 10.1038/s41586-025-08800-x. ↩
25: J Cohen, “‘Devastating’: NIH cancels future funding plans for HIV vaccine consortia”, Science, 2025-May-30. DOI: 10.1126/science.z3s9dsj. ↩
26: Futurism Staff, “The Amount of Electricity Generated From Solar Is Suddenly Unbelievable”, Futurism, n.d.. ↩
27: B McKibben, “4.6 Billion Years On, the Sun Is Having a Moment”, New Yorker, 2025-Jul-09. ↩
28: G Monbiot, “Things are not going to get better as long as oligarchs rule the roost in our democracies”, The Guardian, 2024-Jun-27. ↩
29: C Goldin & RA Margo, “The Great Compression: The Wage Structure of the United States at Mid-Century”, Qrtrly Jnl Econ 107:1, pp. 1-34, 1992-Feb. DOI: 10.2307/2118322. ↩
30: D Hampton, “RFK Jr. to oust entire panel behind cancer screening guidelines for being too ‘woke’: WSJ”, Raw Story 2025-Jul-25. ↩

Gestae Commentaria
Comments for this post are closed pending repair of the comment system, but the Email/Twitter/Mastodon icons at page-top always work.